Examining structures in IATI¶

Dozens of new organisations are getting ready to publish IATI data: the Dutch Ministry of Foreign Affairs made it a requirement for the grantees in the strategic partnerships programme on lobby and advocacy that started this year.
The Ministry has published their guidelines on how to create a useful IATI data set, and part of those guidelines (chapter 3) is an overview of how to represent the structure of funding and activities.
I’m helping organisations get their data in order, and so I was looking for an easy way to see the structure of activities in their data. Browsing through XML data only gets you so far…
So I turned to some of my favourite tools: dot and graphviz. With a simple text file like this
you can create the image below.

It’s not difficult to create an input file for dot from some IATI data. I’m polishing my code a bit still before publishing, and I’m focusing on two aspects now:
- related activities
- participating organisations
Still to add: looking at transactions to find further links.
It works for a few prototype data sets I have, but those are not public yet. Two examples to show what this can do.
Akvo¶
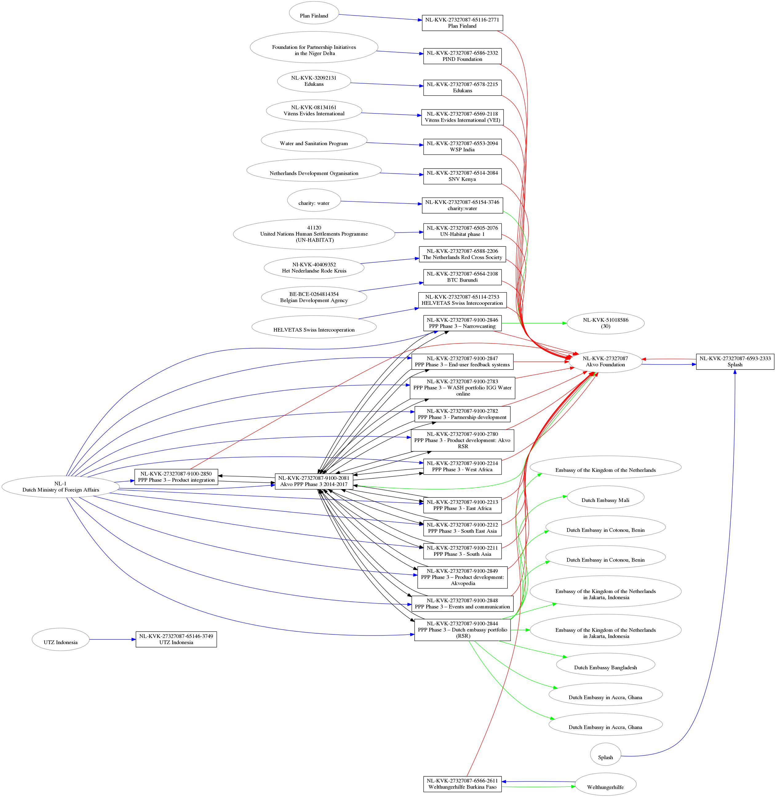
One of the first public data sets with related activity information I looked at is from Akvo. The resulting image is quite interesting:

- blue lines: funding
- green lines: implementing
- red lines: accountable
- dotted lines: extending
- black lines: related activities
It already resulted in a conversation with Yohanna Loucheur on Twitter about the use of participating organisation role “accountable” (the red lines in the image). There is lot to be done still to make the definitions and explanations around the standard clearer.
Also, it appears as if the Dutch Ministry is funding a lot of individual Akvo activities (all the blue lines on the left). I suspect that it actually is a single grant to PPP Phase 3, from which Akvo funds the individual activities.
Another interesting thing is that Akvo has a lot of two-way child relations:

This is clearly an error in the data.
Combined IATI data¶
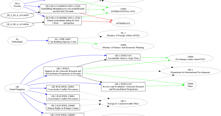
Another example: examining the relations based on a query across all IATI data.
I use BaseX to have all published files available in a single database (more precise: all files that are considered valid XML). That makes it possible to create a new set of activities with just the fields I need.
For instance: lets look at all activities currently underway in Rwanda that deal with “Civilian peace-building, conflict prevention and resolution”. As an Xquery:
<iati-activities>{
for $activity in (//iati-activity)
where $activity/recipient-country/@code="RW"
and $activity/activity-status/@code="2"
and $activity/sector/@code="15220"
return <iati-activity>
{$activity/iati-identifier}
{$activity/reporting-org}
{$activity/title}
{$activity/participating-org}
{$activity/related-activity}
</iati-activity>
}</iati-activities>
The resulting “pseudo” activities file transforms into the following image:

Again, some things here look wrong. For instance, it seems an activity is duplicated with a slightly different identifier:

This might be an error in the data of the Foreign & Commonwealth Office. They have chosen GB-3 as their organisation identifier, although this is not on the official list…
It’s work in progress, if anyone wants to sponsor this:-). So far it helps me spot areas for further investigation into possible errors.
Update 5 Feb¶
I have new versions of the graphs above, to make it easier to see activities within an organisation. The colours have changed: red is funding, blue is implementing, green is accountable or extending. Coloured dots in an activity indicate that the organisation in which the activity resides is listed as funding/implementing/accountable.
To make it more scalable they’re in SVG format now.
Here is Akvo’s graph
and here is the example query about Rwanda
.
Update 8 Feb¶
Akvo released a new data set on the day I started experimenting with their data. The new Akvo graph looks a lot more like what I’d expect to see: